Sangat Membantu

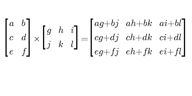
Perkalian Matriks Ordo 2x3 Dan 3x2


Jawab Dongg Makasih Banyakk Poinnya 20 Brainly Co Id
brainly.co.id

Jalan Logika 2017
jalanlogika.blogspot.com

Contoh Perkalian Matriks 2x2 Dengan 2x3
belajarbarengmudah.web.app

Rumus Penjumlahan Matriks Dan Pengurangan Matriks
rumusrumus.com

Tak Ada Dikotomi Operasi Perkalian Matriks
takadadikotomi.blogspot.com

Tolong Bantu Aq Menyelesaikan Soal Ini Dengan Lihat Gambar Di Bawah Brainly Co Id
brainly.co.id

Menghitung Perkalian Matriks Prediksi Unbk Mtk Smk 2018 Youtube
www.youtube.com

Doc Operasi Matriks Ervan Hidayat Academia Edu
www.academia.edu

Kelas Xii Bab 3
www.slideshare.net

Perkalian Matriks Dengan Trik Pensil Penma 2b
penma2b.wordpress.com

Matriks Cara Mudah Perkalian Matrik Berordo 2x3 Dengan 3x2 Youtube
www.youtube.com

Cara Mencari Determinan Matriks Ordo 2 2 Dan 3 3 Simak Youtube
www.youtube.com

Jalan Logika 2017
jalanlogika.blogspot.com

Operasi Matriks
pt.slideshare.net

Matriks Oleh Agus Arwani Ppt Download
slideplayer.info

Matriks Docx
id.scribd.com

Perkalian Matriks 2x3 Dengan 3x1 Brainly
belajarbarengmudah.web.app

Perkalian Matriks 2 X 3
belajarbarengmudah.web.app

Determinan Dan Invers Matriks Persegi Ordo 2 X 2 Youtube
www.youtube.com

Kumpulan Soal Dan Pembahasan Perkalian Matriks
www.edutafsi.com

Operasi Matriks
www.slideshare.net

Mat Wajib Xi Ordo Dan Transpose Matriks Youtube
www.youtube.com

Tak Ada Dikotomi Operasi Perkalian Matriks
takadadikotomi.blogspot.com

Program Perkalian Matrik Ordo 2 3 Dengan C Mhd Iqbal
mhdiqbal21.wordpress.com

Perkalian Matriks 3 X 3 2 X 2 M X N X N X M Idschool
idschool.net

Ppt Matriks Materi Pembelajaran Ifa Rofinda Academia Edu
www.academia.edu

Cara Mudah Belajar Kimia Kumpulan Soal Dan Pembahasan Perkalian Matriks
gerbangilmudasar.blogspot.com

Perkalian Matriks Invers Transpose Pengertian Dan Jenisnya
www.dosenpendidikan.co.id

Perkalian Matriks Dengan Matriks 2 Youtube
www.youtube.com

Perkalian Matriks 2x2 Dengan Matriks 2x3 Youtube
www.youtube.com

Program Bahasa Java Penjumlahan Dan Perkalian Matriks Ordo 2 2 My Great Adventure
ririfa.wordpress.com

Tutorial Cara Menentukan Matriks X Pada Perkalian Matriks Xa B Bagian 2 Youtube
www.youtube.com

Matriks Transpose Youtube
www.youtube.com

Program Perkalian Matrik Ordo 2 3 Dengan C Mhd Iqbal
mhdiqbal21.wordpress.com

Contoh Program C Array Dimensi 2 Matriks Ordo 2 3 Dengan 2 3 Cute766
cute766.info

Sang Bumi Perkalian Matrik Ordo Bebas
padicplustwo.blogspot.com

Berbagi Ilmu Pengetahuan Dan Informasi Program Perkalian Matriks
spatabang.blogspot.com

Perkalian Matriks Berordo 3x2 Dan 3x2 Brainly Co Id
brainly.co.id

Https Encrypted Tbn0 Gstatic Com Images Q Tbn 3aand9gcrbg 2d9t4q4wajefkgi632b4tjwtn4mkzhlbvgq79gisqanw2v Usqp Cau
encrypted-tbn0.gstatic.com

Perkalian Matriks Ordo 2 X 2 Dan Matriks Ordo 2 X 3 Youtube
m.youtube.com

Perkalian Matriks Beda Orde Teori Dan Soal Bse Matematika Kelas 11 Bab 2 K13 Uk 2 1 No 4a Youtube
www.youtube.com

Kumpulan Soal Dan Pembahasan Perkalian Matriks
www.edutafsi.com

Belajar Matematika Online Perkalian Matriks
soulmath4u.blogspot.com

Komik2019unsera A2 Perkalian Matrik Ordo 2x3 Dan 3x2 Youtube
www.youtube.com

Anakbaru99 Perkalian Matriks Ordo 3x2 Dengan Matriks Ordo 2x4 Menggunakan Array Pada Java
anakbaru99.blogspot.com

Operasi Matriks
pt.slideshare.net

Kelas Xii Bab 3
www.slideshare.net

Matriks Pengertian Operasi Sifat Rumus Jenis Dan Contoh Soal Lengkap
www.ayokboco.com

Cara Mudah Belajar Kimia Kumpulan Soal Dan Pembahasan Perkalian Matriks
gerbangilmudasar.blogspot.com

Matriks Cara Mudah Perkalian Matrik Berordo 2x3 Dengan 3x2 Youtube
www.youtube.com

Belajar Matematika Online Perkalian Matriks
soulmath4u.blogspot.com

Perkalian Matriks Ordo 3x3 Dengan 3x3
belajarbarengmudah.web.app

Operasi Matriks
www.slideshare.net

Matrix Multiplication 2x2 Times 2x1 Example By The Math Sorcerer
cyberspaceandtime.com

Matriks
www.slideshare.net

Perkalian Matriks Dengan Trik Pensil Penma 2b
penma2b.wordpress.com

Dunia Pemrograman Mei 2016
hayupermatasari.blogspot.com

Perkalian Matriks Invers Transpose Pengertian Dan Jenisnya
www.dosenpendidikan.co.id

Matrix Multiplication Example 3 3x3 By 3x1 Youtube
www.youtube.com

Https Encrypted Tbn0 Gstatic Com Images Q Tbn 3aand9gcqazduezvd Kpmwkysmfsnej5oculraydi8aplbgt4hp 4yl4ar Usqp Cau
encrypted-tbn0.gstatic.com

Perkalian Matriks M2
www.scribd.com

Perkalian Matriks Pengertian Jenis Rumus Sifat Contoh Soal
rumus.co.id

Perkalian Matriks 3 X 3 2 X 2 M X N X N X M Idschool
idschool.net

Syarat Perkalian Matrik Dengan Matrik
id.scribd.com

Komika1 Komik2019unsera Menentukan Invers Matriks A Dan Perkalian Matriks Ordo 2x3 Dan 3x2 Youtube
www.youtube.com

Perkalian Matriks Ordo 2x3 Dan 3x2
belajarbarengmudah.web.app

Cara Mudah Dan Benar Mengalikan Atau Perkalian Matriks Ordo 2x2 Dan Ordo 2x3 Youtube
www.youtube.com

Kumpulan Soal Dan Pembahasan Perkalian Matriks
www.edutafsi.com

Perkalian Matriks Ordo 3x1 Dan 1x3 Youtube
m.youtube.com

Kumpulan Soal Dan Pembahasan Perkalian Matriks
www.edutafsi.com

Tak Ada Dikotomi Operasi Perkalian Matriks
takadadikotomi.blogspot.com

Perkalian Matriks Ordo 2x2 Dengan 2x1
belajarbarengmudah.web.app

Contoh Program C Array Dimensi 2 Matriks Ordo 2x3 Dengan 2x3
kumpulancodingan.blogspot.com

Kumpulan Soal Dan Pembahasan Perkalian Matriks
www.edutafsi.com

Matriks Oleh Agus Arwani Ppt Download
slideplayer.info

Rumus Contoh Soal Dan Pembahasan Perkalian Matriks
rumusbilangan.com

Matematika
www.slideshare.net

Https Encrypted Tbn0 Gstatic Com Images Q Tbn 3aand9gcqrgdpklkzytivlon1wghapdkj13t8 Nn Kg2zaie4 Mvijjqsl Usqp Cau
encrypted-tbn0.gstatic.com

Contoh Soal Matriks Penjumlahan Pengurangan Perkalian Dan Campuran Plus Jawabannya
www.sheetmath.com

Perkalian Matriks Ordo 3x3 Youtube
www.youtube.com

Vidia Her Matrik Pembagian Pengurangan Penjumlahan Perkalian
vidia-is-me.blogspot.com

Program Dan Flowchart Perkalian Matriks
www.slideshare.net

Matriks I Like Matematika
belajarmatblog.wordpress.com

Perkalian Matriks 2x2 Dengan 3x2 Brainly Co Id
brainly.co.id

Matriks Oleh Agus Arwani Ppt Download
slideplayer.info

Perkalian Matriks Invers Transpose Pengertian Dan Jenisnya
www.dosenpendidikan.co.id

Perkalian Matriks 3 X 3 2 X 2 M X N X N X M Idschool
idschool.net

Perkalian Matriks 3 X 3 2 X 2 M X N X N X M Idschool
idschool.net

Perkalian Matriks 3 X 3 2 X 2 M X N X N X M Idschool
idschool.net

Tak Ada Dikotomi Operasi Perkalian Matriks
takadadikotomi.blogspot.com

Tak Ada Dikotomi Operasi Perkalian Matriks
takadadikotomi.blogspot.com

Perkalian Matriks Ordo 2x3 Dan 3x2 Youtube
www.youtube.com

Operasi Matriks
www.slideshare.net

Kumpulan Soal Dan Pembahasan Perkalian Matriks
www.edutafsi.com

Matriks Operasi Matriks Rumus Contoh Soal Matriks Dan Jawabannya Lengkap Pelajaran Sekolah Online
www.pelajaran.co.id

Kumpulan Soal Dan Pembahasan Perkalian Matriks
www.edutafsi.com

Syarat Perkalian Matrik Dengan Matrik
id.scribd.com

Perkalian Matriks 3x2 Dengan 2x2 Rumus Co Id
rumus.co.id

Tak Ada Dikotomi Operasi Perkalian Matriks
takadadikotomi.blogspot.com

Berbagi Ilmu Pengetahuan Dan Informasi Program Perkalian Matriks
spatabang.blogspot.com

Cara Mudah Belajar Kimia Kumpulan Soal Dan Pembahasan Perkalian Matriks
gerbangilmudasar.blogspot.com

Perkalian Matriks 2x3 Dan 3x2 Part 2 By Math Math
cyberspaceandtime.com

Perkalian Matriks Ordo 3x2 Dan 2x3 Youtube
www.youtube.com

close